The QFT and the NISQ era
The Quantum Fourier Transform
- Algorithm
-
Noise model
-
Correlations and Fidelity
QFT circuit
QFT circuit
H = \frac{1}{\sqrt{2}}
\begin{pmatrix}
1 & 1\\
1 & -1
\end{pmatrix}
QFT circuit
C(i,j)=
\begin{pmatrix}
1 & 0 & 0 & 0 \\
0 & 1 & 0 & 0 \\
0 & 0 & 1 & 0 \\
0 & 0 & 0 & \theta
\end{pmatrix}
H = \frac{1}{\sqrt{2}}
\begin{pmatrix}
1 & 1\\
1 & -1
\end{pmatrix}
QFT circuit
\mathcal{U}_\mathrm{QFT} = \prod_{i=0}^n\big[[\prod_{j=i+1}^nC_\mathrm{rot}(i,j)]H_i\big]\\
\theta = e^\frac{i\pi}{2^{|i-j|}}
C(i,j)=
\begin{pmatrix}
1 & 0 & 0 & 0 \\
0 & 1 & 0 & 0 \\
0 & 0 & 1 & 0 \\
0 & 0 & 0 & \theta
\end{pmatrix}
H = \frac{1}{\sqrt{2}}
\begin{pmatrix}
1 & 1\\
1 & -1
\end{pmatrix}
QFT circuit

\mathcal{U}_\mathrm{QFT} = \prod_{i=0}^n\big[[\prod_{j=i+1}^nC_\mathrm{rot}(i,j)]H_i\big]\\
\theta = e^\frac{i\pi}{2^{|i-j|}}
C(i,j)=
\begin{pmatrix}
1 & 0 & 0 & 0 \\
0 & 1 & 0 & 0 \\
0 & 0 & 1 & 0 \\
0 & 0 & 0 & \theta
\end{pmatrix}
H = \frac{1}{\sqrt{2}}
\begin{pmatrix}
1 & 1\\
1 & -1
\end{pmatrix}

The Quantum Fourier Transform
-
Algorithm
-
Noise model
-
Correlations and Fidelity
Basis of the study

Noise
\tilde{\mathcal{U}}_\mathrm{QFT} = \prod_{t=0}^T\tilde{U}_\delta(t),\qquad \tilde{U}_\delta(t) = e^{-i\delta V}U(t)
Fidelity
F(T)\;=\;1-\frac{\delta^{2}}{2}\sum_{t,t'=1}^{T} C(t,t')\;+\;O(\delta^{3})
C(t,t')=\frac{1}{N}\mathrm{Tr}\!\big[V(t',0)\,V(t,0)\big]
The Quantum Fourier Transform
-
Algorithm
-
Noise model
-
Correlations and Fidelity
Correlation accumulation
Correlation accumulation

Correlation accumulation


How to achieve this ?
-
Introducing a rotation
-
Reshuffling
-
Fidelity Scaling
The 'improved' QFT
1_{4\times 4}=R^\dagger(i,j) R(i,j) = R(i,j)R^\dagger(i,j)
1_{4\times 4}=R^\dagger(i,j) R(i,j) = R(i,j)R^\dagger(i,j)
[R(i,j),C_\mathrm{rot}(i,j)]=0
1_{4\times 4}=R^\dagger(i,j) R(i,j) = R(i,j)R^\dagger(i,j)
[R(i,j),C_\mathrm{rot}(i,j)]=0
[R(i,j),R(i,k)]=0
1_{4\times 4}=R^\dagger(i,j) R(i,j) = R(i,j)R^\dagger(i,j)
[R(i,j),C_\mathrm{rot}(i,j)]=0
[R(i,j),R(i,k)]=0
R =
\begin{pmatrix}
0 & 0 & -1 & 0\\
0&1&0&0\\
1&0&0&0\\
0&0&0&-1
\end{pmatrix}
-
Introducing a rotation
-
Reshuffling
-
Fidelity Scaling
The 'improved' QFT
\mathcal{U}_\mathrm{QFT} = \prod_{i=0}^n\big[[\prod_{j=i+1}^nC_\mathrm{rot}(i,j)]H_i\big]
\mathcal{U}_\mathrm{iQFT} = \prod_{i=0}^n\big[[\prod_{j=i+1}^nR(i,j)][\prod_{j=i+1}^nG(i,j)]H_i\big]\\
G(i,j) = R(i,j)^\dagger C_\mathrm{rot}(i,j)
\mathcal{U}_\mathrm{QFT} = \prod_{i=0}^n\big[[\prod_{j=i+1}^nC_\mathrm{rot}(i,j)]H_i\big]

The 'improved' QFT
-
Introducing a rotation
-
Reshuffling
-
Fidelity Scaling
Correlation accumulation


Overall fidelity

Dissipation
- Superoperators
- Analytical predictions
- Numerical study
Vectorization
U(t) \rightarrow W(t) = U(t) \otimes \bar{U}(t),\\
\mathcal{W}_\mathrm{QFT} = \prod^T_\mathrm{t=0}W(t) = \mathcal{U}_\mathrm{QFT}\otimes\bar{\mathcal{U}}_\mathrm{QFT}
Vectorization
U(t) \rightarrow W(t) = U(t) \otimes \bar{U}(t),\\
\mathcal{W}_\mathrm{QFT} = \prod^T_\mathrm{t=0}W(t) = \mathcal{U}_\mathrm{QFT}\otimes\bar{\mathcal{U}}_\mathrm{QFT}
\tilde{W}_{\delta, \kappa}(t) = (1-\kappa)\tilde{U}_\delta(t) \otimes \tilde{\bar{U}}_\delta(t) + \kappa\sum_{i=1}^{r}K_i(t) \otimes \bar{K}_i(t)
Dissipative noise
\sum_{i=1}^{r}K^\dagger_i(t) K_i(t) = 1_{N}
Dissipative noise
\sum_{i=1}^{r}K^\dagger_i(t) K_i(t) = 1_{N}
\sum_{i=1}^{r>=2}K^\dagger_i(t)\otimes K_i(t)\xrightarrow{}\sum_{i\in\{1,2\}}K^\dagger_i\otimes K_i
Dissipation
- Superoperators
- Analytical predictions
- Numerical study
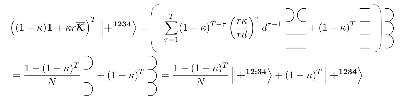
Weingarten calculus

Weingarten calculus

\overline{\mathcal{F}}\sim(1-T\kappa)\overline{F_\delta}+\frac{T\kappa}{N}=\overline{F_\delta}-T\left(\overline{F_\delta}-\frac{1}{N}\right)\kappa
Dissipation
- Superoperators
- Analytical predictions
- Numerical study
Split models

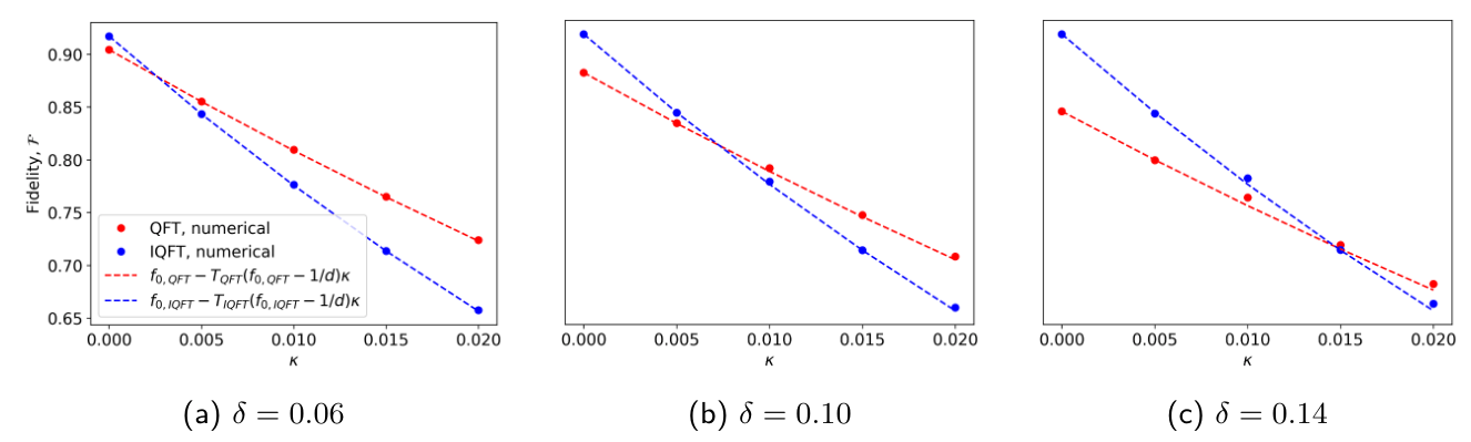
Main results
- Zone of interest
- Scaling up
- Overall fidelity increase

Main results
- Zone of interest
- Scaling up
- Overall fidelity increase

QFT maximizes
iQFT maximizes
Main results
- Zone of interest
- Scaling up
- Overall fidelity increase
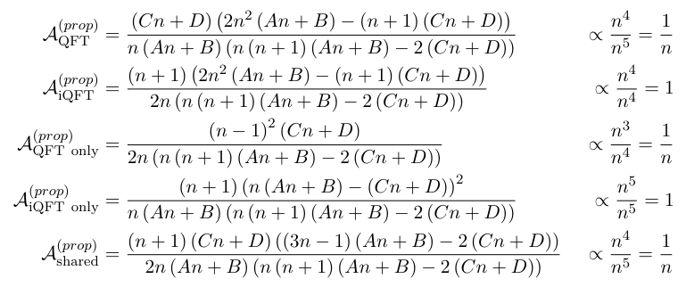
\kappa^*=\frac{2 n (A n+B-C)-2 D}{n-1}\delta^2\ \overset{n\gg1}{\sim} 2An\delta^2
\begin{cases}
&\epsilon\leq\delta ^2 \left(A n^3+B n^2\right)+\kappa \left(\dfrac{n^2+1}{2}\right)\\
&\epsilon\leq\delta ^2\left(C n^2+D n\right)+\kappa n^2
\end{cases}


Outlooks
- Further noise models
- Other shuffling gates / architectures
deck
By Julien Bréhier
deck
- 46