

Capturing the first movie of Sgr A*


Ref Bari, Brown University
T-REX



Agenda
- Introductions
- Group Picture
- 1-Year of T-REX 🎉
- Logistics & Updates
- NASA NSTGRO Grant
- NASA Goddard Org Chart
- Ref's Talk @DSI
- Science Task Force
- How does T-REX work?
- A new idea: Closure Phases
- Primary Science Objectives
- Action Items for Next Meeting

T-REX: 1 Year



T-REX: 1 Year



T-REX: 1 Year



T-REX: 1 Year



T-REX: 1 Year



T-REX: 1 Year




T-REX: 1 Year


T-REX: 1 Year



T-REX: 1 Year



T-REX: 1 Year




T-REX: 1 Year



T-REX: 1 Year



T-REX: 1 Year



T-REX: 1 Year




T-REX: 1 Year



T-REX: 1 Year



T-REX: 1 Year



T-REX: 1 Year



T-REX: 1 Year



T-REX: 1 Year



T-REX: 1 Year



T-REX: 1 Year


T-REX: 1 Year


T-REX: 1 Year



T-REX: 1 Year



T-REX: 1 Year



T-REX: 1 Year



T-REX: 1 Year



T-REX



T-REX

Optical Terminals
RF Tracking Stations


VLBI Ground Stations




T-REX Data Center


T-REX

Optical Terminals
RF Tracking Stations


VLBI Ground Stations





T-REX Data Center


T-REX

Optical Terminals
RF Tracking Stations


VLBI Ground Stations





T-REX Data Center



T-REX

Optical Terminals
RF Tracking Stations


VLBI Ground Stations






T-REX Data Center


T-REX

Optical Terminals
RF Tracking Stations


VLBI Ground Stations






T-REX Data Center


T-REX



T-REX



T-REX



T-REX




PSO #1



PSO #1

f_{obs}
f_{obs}=86\text{ GHz}

PSO #1

f_{obs}
f_{obs}
f_{obs}=150\text{ GHz}

PSO #1



PSO #1



PSO #1



PSO #2



PSO #2



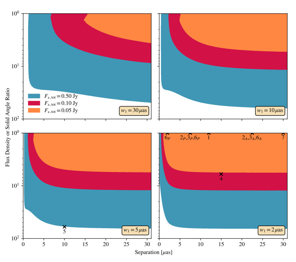
PSO #3



PSO #3



PSO #3



PSO #3



Closure Phase



Closure Phase




T-REX


Agenda


Agenda


Agenda


Agenda


Agenda


Agenda


Agenda


Agenda


Agenda


Agenda


Agenda


Agenda


Agenda


Agenda


Agenda
T-REX | 1/23 Meeting
By Ref Bari
T-REX | 1/23 Meeting
- 144